La energía oscura, o la antigravedad
La energía oscura puede explicar la expansión acelerada del universo, todo por un error de Einstein.
Tiempo de lectura: 4 minutos
A principios del siglo XX los científicos creían que el universo era estático, no se conocía la expansión.
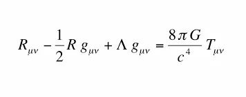
Albert Einstein, famoso físico germano-estadounidense, trabajando en sus ecuaciones de la Teoría General de la Relatividad, se vio obligado a introducir un efecto repulsivo que compensara la tendencia gravitatoria al colapso que se produciría en un universo estático. Y en 1915, ideo la constante cosmológica, representada por lambda, a la que llamó constante universal.
Constante cosmológica
El trabajo de Einstein sugirió que la gravedad haría que el universo se contrajera o se expandiera, principalmente la gravedad afectaría a las masas y tarde o temprano el unverso colapsaría. Y para ajustar las ecuaciones a lo que era la creencia general de un universo estático, insertó un factor para corregirlo, creando la constante cosmológica y dejando el universo estático homogéneo con simetría esférica.
Ampliación
Edwin Hubble
Sin embargo, algo más de una década después, el astrónomo estadounidense Edwin Hubble notó que las galaxias en realidad se estaban alejando de nosotros, lo que indica la por lo que el universo se estaba expandiendo. Ante estas evidencias, Einstein llamó a lambda su mayor error. Sin embargo, algunos teóricos siguieron acogiendo el resultado, porque era el único término consistente que se puede añadir a las ecuaciones de campo de la Relatividad General sin que pierdan su coherencia.
Ampliación
Por las observaciones de Hubble la necesidad de una constante cosmológica no fue necesaria durante décadas, pero eso cambió cuando los astrónomos examinaron supernovas distantes y, a fines de la década de 1990, se descubrió que el universo no solo se estaba expandiendo, sino que aceleraba su expensón. Y a la misteriosa fuerza repulsiva necesaria para dar cuenta de este fenómeno la llamaron energía oscura, ya que no se tenía idea de su naturaleza, salvo que era de signo contrario a la gravedad.
Ecuación de Friedmann
En la década de 1920, el físico ruso Alexander Friedmann, consideró que la solución de Einstein era inestable y desarrolló una ecuación, ahora llamada la ecuación de Friedmann, para proponer un universo en expensón, que describe las propiedades de la universo desde el Big Bang en adelante. Y el interés volvió a resurgir con las teorías cuánticas de campos, pues éstas predicen una densidad de energía de vacío que se puede comportar, a todos los efectos, como una constante cosmológica efectiva. Aunque la idea no es como la propuesta por Einstein.
Al recuperar la constante de Einstein y conectarla a las ecuaciones de Friedmann, los científicos pudieron crear un modelo del universo con una aceleración en la tasa de expensón. Esta versión de la ecuación de Friedmann ahora forma la columna vertebral de la teoría cosmológica contemporánea, que se conoce como ACDM (Lambda Could Dark Matter).
Lambda representa la energía oscura, pero no sabemos nada de ella, solo que va creciendo a medida que el universo se expande. Esta energía suponemos que puede ser la energía de vacío, que cada vez es mayor en el universo, por la expansión como he comentado.
Composición
Hoy en día sabemos que la composición del universo es
- 70% de energía oscura
- 25% de materia oscura
- 4% de hidrógeno libre y helio
- 1% el resto de todo
Energía oscura
Pero conectar la energía del vacío con la constante cosmológica no es sencillo. En base a las observaciones de supernovas, los astrónomos estiman que la energía oscura debería tener un valor pequeño, lo suficiente como para separar todo en el universo durante miles de millones de años. Pero los cálculos no cuadran con las observaciones... por un factor de 107 órdenes de magnitud! La densidad de energia medida de vacio es 10^14 GeV/m3 contra los 10^121 GeV/m3 calculados.
El principio de incertidumbre de Heisenberg permite la formación de pares virtuales partícula-antipartícula de masa m durante intervalos de tiempo del orden de h/(mc2), siendo h la constante de Planck y c la velocidad de la luz. Estos procesos implican que el vacío debe tener una densidad de energía diferente de cero que a veces se denomina energía del punto cero. El concepto de la energía del punto cero fue propuesto por Albert Einstein y Otto Stern en 1913, y el vacío ejerce una presión en las tres dimensiones epaciales.
Entonces, ¿cómo puede el vacío hacer presión?
Si tenemos un pistón con un gas y tiramos del émbolo, el gas se enfría porque realiza un trabajo sobre el émbolo, perdiendo energía.
Si tenemos un pistón en el que se ha hecho el vacío y tiramos del émbolo, crearemos más vacío que por tanto contendrá una mayor energía de vacío que sólo habrá podido ser suplida por la fuerza que movió el pistón. En el proceso, la densidad de energía de vacío debe ser una constante, puesto que no puede depender de ningún parámetro, ya que en el vacío ¡no hay nada de lo que pueda depender! Esta es la presión negativa.
Conclusión
La mera presencia de energía oscura, por pequeña que sea inicialmente, hace que a lo largo de la expansión puede llegar un momento en el que la energía oscura se haga dominante porque las demás decrecen con la expansión, mientras que la de densidad de energía oscura se mantiene constante.
- Cosmological constant, NASA
https://map.gsfc.nasa.gov - Vacuum energy density, UCLA
http://www.astro.ucla.edu - Expensión acelerada y energía oscura, Mariano Santander
https://unavistacircular.wordpress.com

